반응형
⭐ 정의
한놈만 판다.
관심있는 하나의 변수를 제외한 나머지 모든 변수를 상수로
취급하여 미분
👓 기호와 표기법
함수 f(x,y)를 x에 대해 편미분 할 때

함수 f(x,y)를 y에 대해 편미분 할 때

정리하면, 편미분은 변수 각각의 기울기를 계산하는 것
↘️ 기울기 벡터


⭐ 정의
기울기 벡터 = x방향 기울기 + y방향 기울기
🧩 역할
- 방향: 가장 빠르게 높이(z)가 증가하는 방향
- 크기: 그 방향으로 얼마나 가파르게 올라가는 지
- 종합하면: 어디로 가면 제일빨리 높아지는 지 알려줌
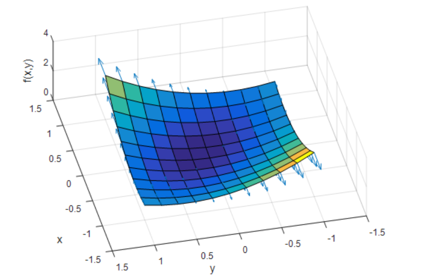
🎯예



f(x,y)를 편미분 후, 기울기 벡터까지 구해봤다.
여기서 우리는 x = 1, y = 2인 점에 있다고 해보자. 그렇다면 기울기 벡터는 (2,4)가 된다.
여기서 방향을 다음과 같이 정의한다.
- 동: x가 증가하는 방향
- 서: x가 감소하는 방향
- 남: y가 감소하는 방향
- 북:y가 증가하는 방향
이 때, 방향은 이 4가지만 있는게 아니라, 북동, 북서 등 무한히 많다.
우리는 어디로 가야 가장빨리 정상에 도착할 수 있을까??
바로 북동쪽에서, 조금 더 북쪽에 치우친 방향이다.
왜그러냐면, 기울기 벡터가 (2,4)이므로 y가 x보다 증가율이 더 가파르기 때문이다.
출처
반응형
'AI > 이론' 카테고리의 다른 글
| [미분 - 수치 미분] 수치 미분 (0) | 2026.01.31 |
|---|---|
| [신경망-손실함수] 손실함수란? (0) | 2026.01.25 |
| [신경망-학습] 학습이란? (0) | 2026.01.24 |
| [신경망-MNIST] MNIST 데이터셋 (1) | 2026.01.22 |
| [신경망-활성화 함수] 소프트맥스 함수 (1) | 2026.01.14 |